广东2021年成人高考高等数学(一)常考知识点总结
编辑整理:广东成考网 发表时间:2021-08-12 15:02:51 【大 中 小】
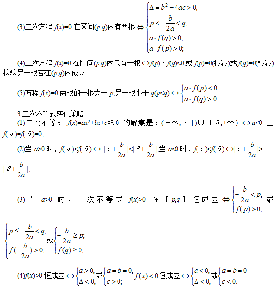
一元二次函数、一元二次方程、一元二次不等式是中学数学的重要内容,具有丰富的内涵和密切的联系,同时也是研究包含二次曲线在内的许多内容的工具.成人高考试题中近一半的试题与这三个“二次”问题有关.本节主要是帮助考生理解三者之间的区别及联系,掌握函数、方程及不等式的思想和方法.

命题意图:本题主要考查考生对函数中函数与方程思想的运用能力.属于★★★★★题目.
知识依托:解答本题的闪光点是熟练应用方程的知识来解决问题及数与形的完美结合.
错解分析:由于此题表面上重在“形”,因而本题难点就是一些考生可能走入误区,老是想在“形”上找解问题的突破口,而忽略了“数”.
技巧与方法:利用方程思想巧妙转化.




本文标签:广东成考高等数学一广东2021年成人高考高等数学(一)常考知识点总结
转载请注明:文章转载自(http://www.dgzkw.com)
⊙小编提示:添加【广东成考网】招生老师微信,即可了解2024年广东省成人高考政策资讯、成人高考报名入口、准考证打印入口、成绩查询时间以及领取历年真题资料、个人专属备考方案等相关信息!

(添加“广东成考网”招生老师微信,在线咨询报名报考等相关问题)
《广东成考网》免责声明:
1、由于考试政策等各方面情况的调整与变化,本网提供的考试信息仅供参考,最终考试信息请以省考试院及院校官方发布的信息为准。
2、本站内容部分信息均来源网络收集整理或来源出处标注为其它媒体的稿件转载,免费转载出于非商业性学习目的,版权归原作者所有,如有内容与版权问题等请与本站联系。联系邮箱:812379481@qq.com。


×